Упр.12.1 ГДЗ Мерзляк 10 класс Базовый уровень (Алгебра)
Решение #1

Рассмотрим вариант решения задания из учебника Мерзляк, Номировский, Полонский 10 класс, Вентана-Граф:
12.1. Решите уравнение:
1) корень из (x-1)·корень из (x+4)=6; 5) (x-2)/корень из (2x-7)=корень из (x-4);
2) корень из (2x+3)·корень из (x-2)=3; 6) корень из (x-9)+корень из x=36/корень из (x-9);
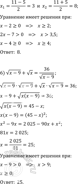
3) корень из (x+1)·корень из (x+2)=4; 7) корень из (7-x)+12/корень из (7-x)=2корень из (5x+37).
4) корень из x·корень из (1-x)=x;
*размещая тексты в комментариях ниже, вы автоматически соглашаетесь с пользовательским соглашением