Упр.25.3 ГДЗ Мерзляк 10 класс Базовый уровень (Алгебра)
Решение #1

Рассмотрим вариант решения задания из учебника Мерзляк, Номировский, Полонский 10 класс, Вентана-Граф:
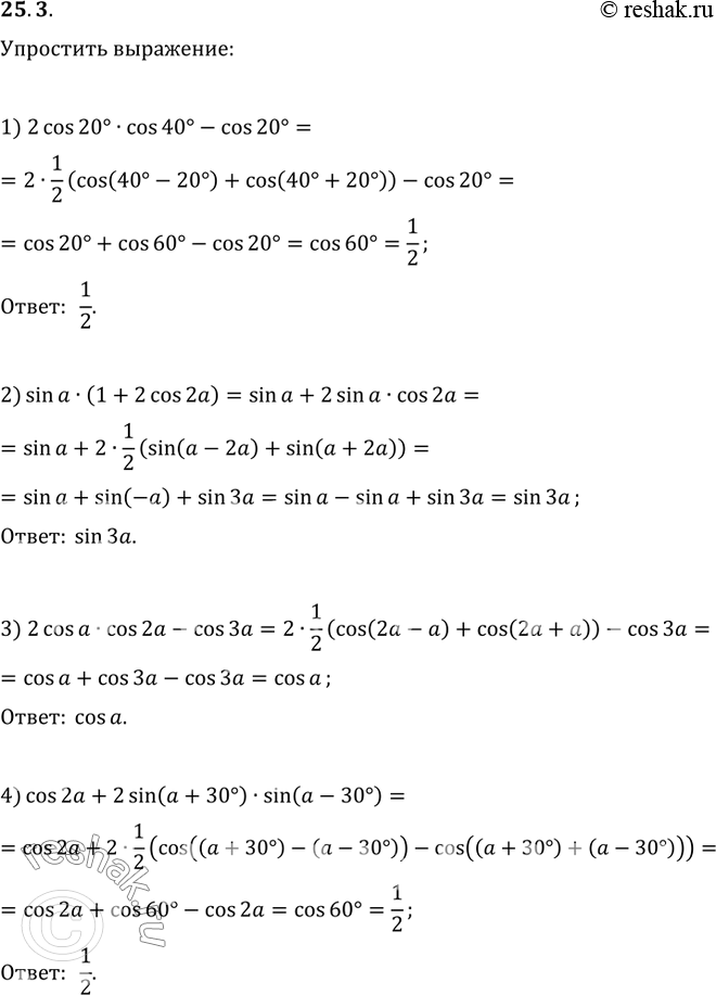
25.3. Упростите выражение:
1) 2cos(20°)cos(40°)-cos(20°); 3) 2cos(a)cos(2a)-cos(3a);
2) sin(a)(1+2cos(2a)); 4) cos(2a)+2sin(a+30°)sin(a-30°).
*размещая тексты в комментариях ниже, вы автоматически соглашаетесь с пользовательским соглашением