Упр.30.18 ГДЗ Мерзляк 10 класс Базовый уровень (Алгебра)
Решение #1

Рассмотрим вариант решения задания из учебника Мерзляк, Номировский, Полонский 10 класс, Вентана-Граф:
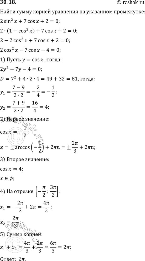
30.18. Найдите сумму корней уравнения 2sin^2(x)+7cos(x)+2=0, принадлежащих промежутку [-?/2; 3?/2].
*размещая тексты в комментариях ниже, вы автоматически соглашаетесь с пользовательским соглашением