Упр.33.7 ГДЗ Мерзляк 10 класс Базовый уровень (Алгебра)
Решение #1

Рассмотрим вариант решения задания из учебника Мерзляк, Номировский, Полонский 10 класс, Вентана-Граф:
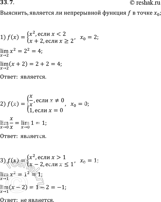
33.7. Выясните, является ли непрерывной функция f в точке х_0:
1) f(x)={(x^2, если x<2; x+2, если x?2), x_0=2;
2) f(x)={(x/x, если x?0; 1, если x=0), x_0=0;
3) f(x)={(x^2, если x>1; x-2, если x?1), x_0=1.
*размещая тексты в комментариях ниже, вы автоматически соглашаетесь с пользовательским соглашением