Упр.42.26 ГДЗ Мерзляк 10 класс Базовый уровень (Алгебра)
Решение #1

Рассмотрим вариант решения задания из учебника Мерзляк, Номировский, Полонский 10 класс, Вентана-Граф:
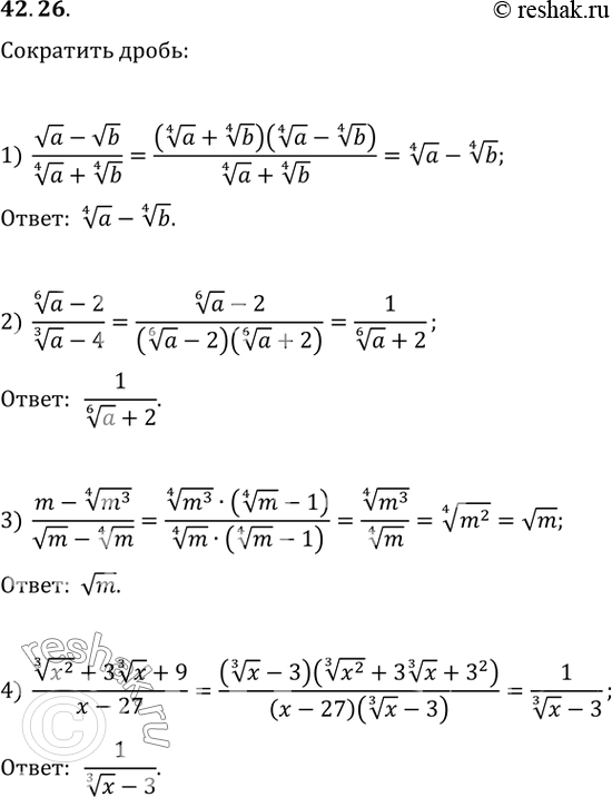
42.26. Сократите дробь:
1) (va-vb)/(a^(1/4)+b^(1/4)); 2) (a^(1/6)-2)/(a^(1/3)-4);
3) (m-(m^3)^(1/4))/(vm-m^(1/4)); 4) ((x^2)^(1/3)+3x^(1/3)+9)/(x-27).
*размещая тексты в комментариях ниже, вы автоматически соглашаетесь с пользовательским соглашением