Упр.5.9 ГДЗ Мерзляк 10 класс Базовый уровень (Алгебра)
Решение #1

Рассмотрим вариант решения задания из учебника Мерзляк, Номировский, Полонский 10 класс, Вентана-Граф:
5.9. Решите неравенство:
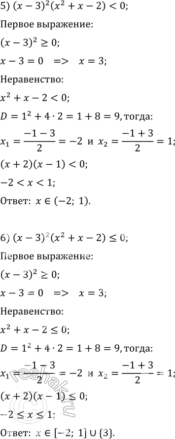
1) (x-4)^2(x^2-7x+10)<0; 5) (x-3)^2(x^2+x-2)<0;
2) (x-4)^2(x^2-7x+10)?0; 6) (x-3)^2(x^2+x-2)?0;
3) (x-4)^2(x^2-7x+10)>0; 7) (x-3)^2(x^2+x-2)>0;
4) (x-4)^2(x^2-7x+10)?0; 8) (x-3)^2(x^2+x-2)?0;
*размещая тексты в комментариях ниже, вы автоматически соглашаетесь с пользовательским соглашением