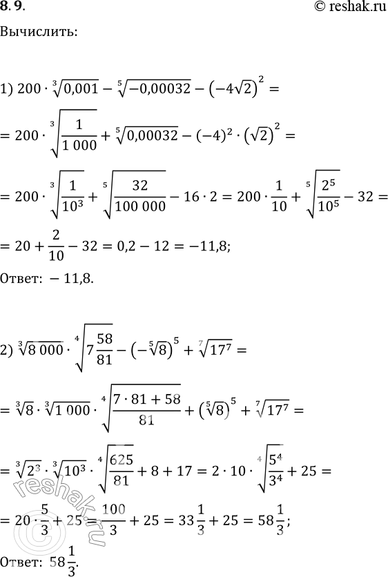
Упр.8.9 ГДЗ Мерзляк 10 класс Базовый уровень (Алгебра)
Решение #1

Рассмотрим вариант решения задания из учебника Мерзляк, Номировский, Полонский 10 класс, Вентана-Граф:
8.9. Вычислите:
1) 200(0,001)^(1/3)-(-0,00032)^(1/5)-(-4v2)^2;
2) (8 000)^(1/3)·(7 58/81)^(1/4)-(-8^(1/5))^5+(17^7)^(1/7).
*размещая тексты в комментариях ниже, вы автоматически соглашаетесь с пользовательским соглашением