Упр.21.19 ГДЗ Мордкович 7 класс (Алгебра)
Решение #1
Решение #2

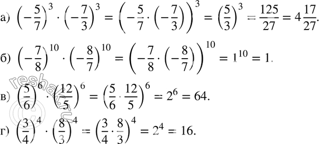
Рассмотрим вариант решения задания из учебника Мордкович, Александрова 7 класс, Мнемозина:
а) (-5/7)3*(-7/3)2;
б) (-7/8)10*(-8/7)10;
в) (5/6)6*(12/5)6;
г) (3/4)4*(8/3)4.
*размещая тексты в комментариях ниже, вы автоматически соглашаетесь с пользовательским соглашением